EQUAZIONI RECIPROCHE DI PRIMA SPECIE DI QUARTO GRADO
- Equazioni reciproche
- Equazioni di primo grado ad una incognita
- Equazioni di secondo grado ad una incognita
- Risoluzione delle equazioni di secondo grado complete
- Raccoglimento a fattor comune parziale
Nella lezione precedente abbiamo visto cosa si intende per EQUAZIONI RECIPROCHE e le abbiamo distinte in EQUAZIONI RECIPROCHE di:
- PRIMA SPECIE;
- SECONDA SPECIE.
In questa lezione vedremo come si risolvono le EQUAZIONI RECIPROCHE DI PRIMA SPECIE.
Ricordiamo che, con questa espressione, si intendono le equazioni nelle quali i COEFFICIENTI DEI TERMINI ESTREMI e di quelli EQUIDISTANTI dagli estremi sono UGUALI.
Iniziamo col vedere come si risolvono le EQUAZIONI RECIPROCHE DI PRIMA SPECIE di GRADO PARI e precisamente di QUARTO GRADO. Infatti non conosciamo il modo di risolvere le equazioni reciproche di prima specie di grado pari superiore al quarto.
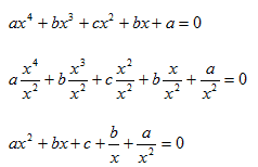
L'equazione si presenterà nella forma:
ax4 + bx3 + cx2 + bx + a = 0.
Dividiamo entrambi i membri dell'equazione per x2 (con x2 ≠ 0).
Avremo:
Ora mettiamo in evidenza la a e la b effettuando un raccoglimento a fattore comune parziale:
Osserviamo che possiamo scrivere:
Infatti:
Quindi sostituiamo
nell'equazione
e abbiamo:
da cui:
Ora, ponendo
t = (x + 1/x)
la nostra equazione diventa
at2 + bt +c -2a = 0.
Questa è una EQUAZIONE DI SECONDO GRADO risolvibile nei modi consueti ricordando che
c-2a
è il TERMINE NOTO.
Una volta trovate le soluzioni di t, se esse esistono, bisognerà cercare quelle di x ricordando che
t = (x + 1/x).
Esempio:
6x4 +5x3 -38x2 +5x +6=0.
Come possiamo notare l'EQUAZIONE è RECIPROCA DI PRIMA SPECIE di QUARTO GRADO.
Dividiamo per x2:
6x2 +5x-38+5/x +6/x2=0.
Mettiamo in evidenza il 6 e il 5:
6(x2 +1/x2)+ 5(x +1/x) -38 = 0.
Sostituiamo
x2 +1/x2 = (x + 1/x)2 -2
e abbiamo
6[(x + 1/x)2 - 2] + 5(x +1/x) -38 = 0
6(x + 1/x)2 -12+ 5(x +1/x) -38 = 0
6(x + 1/x)2 + 5(x +1/x) -38 -12 = 0
6(x + 1/x)2 + 5(x +1/x) -50 = 0.
Poniamo
t = x+ 1/x
e abbiamo
6t2 + 5t - 50 = 0.
Ora cerchiamo i valori di x che soddisfano l'equazione:
Quindi le soluzioni dell'equazione sono:
x = -3; x = -1/3; x = 1/2; x = 2.






