EQUAZIONI BINOMIE
- Equazioni di primo grado ad una incognita
- Come si risolve una equazione di primo grado in una incognita
- Equazioni di secondo grado ad una incognita
- Equazioni pure
- Elevamento a potenza
- Potenze di numeri relativi
Consideriamo la seguente equazione:
axn + b = 0.
Essa si dice BINOMIA essendo formata solamente da due termini:
- uno contenente la x elevata alla ennesima potenza;
- e il termine noto.
Se
n = 1
l'equazione diventa
ax + b = 0.
Essa è una EQUAZIONE LINEARE che può essere risolta nei modi consueti.
Se
n = 2
l'equazione diventa
ax2 + b = 0.
Questa è un'EQUAZIONE DI SECONDO GRADO PURA.
Ma cosa accade se n è maggiore di 2?
axn + b = 0
con n > 2.
Portiamo a secondo membro il termine noto cambiandogli di segno:
axn = -b.
Dividiamo entrambi i membri dell'equazione per a:
xn = -b/a.
Mettiamo sotto radice entrambi i membri dell'equazione:
Ora dobbiamo distinguere due ipotesi
- n
è DISPARI.
L'equazione ammette una sola soluzione. Essa è:
Esempi:
-
n è PARI. Perché l'equazione ammetta soluzioni deve essere:
Infatti non esiste una potenza con esponente pari che dia un valore negativo.
Posta questa condizione l'equazione ammette:
- due
soluzioni se -b/a >
0. In questo caso le due
soluzioni sono:
- una soluzione
se -b/a = 0.
In questo caso la soluzione è ZERO.
Infatti
- mentre l'equazione non ammette nessuna soluzione se -b/a < 0.
- due
soluzioni se -b/a >
0. In questo caso le due
soluzioni sono:
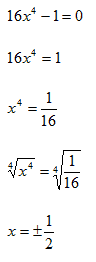
Esempi:
L'equazione non ammette soluzioni.






