SISTEMI OMOGENEI DI QUARTO GRADO
- Sistemi di equazioni di grado superiore al primo
- Sistemi omogenei di quarto grado
- Sistemi omogenei di quarto grado
- Metodo di riduzione
Continuiamo ad occuparci della risoluzione dei SISTEMI OMOGENEI DI QUARTO GRADO che, abbiamo visto in una delle lezioni precedenti, assumono la seguente forma:
Esaminiamo il caso in cui
d ≠ 0 e d' ≠ 0.
In questo caso il sistema avrà la forma:
Per risolvere questo tipo di sistema facciamo in modo di ricondurlo ad uno dei casi visti in precedenza.
In altre parole applichiamo il METODO DI RIDUZIONE dei sistemi. Tale metodo si basa sul principio secondo il quale se in un SISTEMA di EQUAZIONI SOSTITUIAMO ad una di esse, l'equazione che si ottiene ADDIZIONANDO MEMBRO A MEMBRO TUTTE LE EQUAZIONI del SISTEMA, si ottiene un sistema equivalente a quello dato.
Vediamo come bisogna procedere.
Calcoliamo il m.c.m. tra d e d'. Quindi avremo:
m.c.m. (d; d').
Dividiamo il m.c.m. trovato per d e moltiplichiamo tutti i termini della prima equazione per il valore così ottenuto.
Poi dividiamo il m.c.m. trovato per d' e moltiplichiamo tutti i termini della seconda equazione per il valore così ottenuto.
Così facendo il sistema sarà formato da due equazioni che avranno lo stesso termine noto.
Ora sottrarremo le due equazioni del sistema membro a membro: la differenza sarà un'equazione il cui termine noto è zero.
Andremo allora a risolvere il SISTEMA formato:
- dalla DIFFERENZA appena calcolata, il cui termine noto è zero;
- dalla SECONDA EQUAZIONE del sistema originario, il cui termine noto è d'.
In questo modo abbiamo ricondotto il sistema ad uno dei casi visti in precedenza: esso si risolverà come abbiamo visto nella 14° lezione.
Esempio:
Calcoliamo il m.c.m. tra 5 e 3. Quindi avremo:
m.c.m. (5; 3) = 15.
Dividiamo il m.c.m. trovato, cioè 15, per 5 in modo da ottenere 3.
Moltiplichiamo tutti i termini della prima equazione per 3.
Poi dividiamo il m.c.m., cioè 15, per 3 in modo da ottenere 5 e moltiplichiamo tutti i termini della seconda equazione per 5:
Ora sottraiamo le due equazioni del sistema membro a membro.
Ora risolviamo il SISTEMA formato:
- dalla DIFFERENZA appena calcolata;
- dalla SECONDA EQUAZIONE del sistema.
Siamo tornati al caso in cui una delle due equazioni ha, a secondo membro, come termine noto lo zero.
Per risolvere il sistema poniamo
x = ty.
Avremo:
Ora mettiamo in evidenza, in entrambe le equazioni, y2:
Dividiamo la prima equazione per y2, mentre dalla seconda ricaviamo il valore di y2:
Cerchiamo le soluzioni della prima equazione. Avremo:
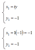
Abbiamo trovato una sola soluzione. Ora risolviamo il sistema formato da:
Avremo:
Ricordando che
x = ty
dovremo trovare le coppie di valori x ed y che soddisfano il sistema.
Il nostro sistema, quindi ammette le seguenti soluzioni:
(-1, -1); (1, 1).






