SISTEMI OMOGENEI DI QUARTO GRADO
- Sistemi di equazioni di grado superiore al primo
- Sistemi omogenei di quarto grado
- Raccoglimento a fattor comune
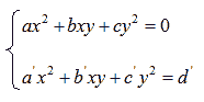
Continuiamo ad occuparci della risoluzione dei SISTEMI OMOGENEI DI QUARTO GRADO che, abbiamo visto nella lezione precedente, assumono la seguente forma:
Esaminiamo il caso in cui
d = 0 e d' ≠ 0.
In questo caso il sistema avrà la seguente forma:
La prima equazione ammette, senz'altro, come soluzioni
x = 0 e y = 0.
Infatti
ma non è detto che questa sia anche una soluzione della seconda equazione.
Per risolvere il sistema poniamo
x = ty.
Avremo:
Ora mettiamo in evidenza, in entrambe le equazioni, y2:
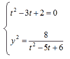
Dividiamo la prima equazione per y2, mentre dalla seconda ricaviamo il valore di y2:
Cerchiamo le soluzioni della prima equazione. Supponiamo che esse siano
t1 = e e t2 = f.
Le soluzioni del sistema si ottengono risolvendo due sistemi:
1° sistema
2° sistema
Ricordando che
x = ty
dovremo trovare le coppie di valori x ed y che soddisfano il sistema.
Chiariamo questi concetti ricorrendo ad un esempio:
Per risolvere il sistema poniamo
x = ty.
Avremo:
Ora mettiamo in evidenza, in entrambe le equazioni, y2:
Dividiamo la prima equazione per y2, mentre dalla seconda ricaviamo il valore di y2:
Cerchiamo le soluzioni della prima equazione:
t2 - 3t + 2 = 0.
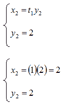
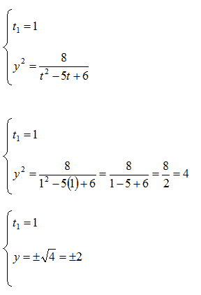
Ora risolviamo due sistemi formati, rispettivamente da t1 e dalla seconda equazione e da t2 e dalla seconda equazione:
1° sistema
2° sistema
Il sistema è impossibile.
Abbiamo trovato il valore della y ora ricordando che
x = ty
dobbiamo trovare le coppie di valori x ed y che soddisfano il sistema. Ovvero:
Il nostro sistema, quindi ammette solamente due soluzioni, ovvero:
(-2, -2); (2, 2).
Continueremo nella prossima lezione a vedere gli altri casi di risoluzione di sistemi omogenei di secondo grado.






