ESERCIZI SULLE DISEQUAZIONI DI PRIMO GRADO
Esercizio 16
Risolvere la seguente disequazione:

Svolgimento
Per liberare la disequazione dal denominatore iniziamo col calcolare il m.c.m. tra 2 e 4 ed eseguire le operazioni indicate a primo e secondo membro:

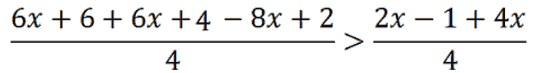
Moltiplichiamo primo e secondo membro per 4:
6x + 6 + 6x + 4 – 8x + 2 > 2x – 1 + 4x.
Portiamo a primo membro 2x e 4x e gli cambiamo di segno e portiamo a secondo membro 6, 4 e 2 e gli cambiamo di segno. In questo modo avremo a primo membro tutte le incognite e a secondo membro tutti i termini noti. Ovvero:
6x + 6x – 8x – 2x – 4x > - 1 – 6 – 4 - 2.
Quindi riduciamo i termini simili e avremo:
- 2x > - 13.
Poiché il coefficiente della x è negativo è necessario cambiargli di segno moltiplicando per -1 entrambi i termini della disequazione. Come sempre, in questi casi, dobbiamo ricordarci di cambiare il verso della disequazione.
Quindi avremo:
2x < 13.
Ora dividiamo entrambi i membri della disequazione per il coefficiente dell’incognita 2. Quindi avremo:
x < 13/2.
Vediamo, ora, come possiamo rappresentare il risultato ottenuto. Riportiamo, i vari metodi possibili:
x < 13/2
oppure
{x ∈ R : x < 13/2}
oppure
] -∞ 13/2 [
oppure

- Esercizio 1 - Esercizio sulle disequazione di primo grado intere
- Esercizio 2- Esercizio sulle disequazione di primo grado intere
- Esercizio 3 - Esercizio sulle disequazione di primo grado intere
- Esercizio 4 - Esercizio sulle disequazione di primo grado intere
- Esercizio 5 - Esercizio sulle disequazione di primo grado intere
- Esercizio 6 - Esercizio sulle disequazione di primo grado intere
- Esercizio 7 - Esercizio sulle disequazione di primo grado intere
- Esercizio 8 - Esercizio sulle disequazione di primo grado intere
- Esercizio 9 - Esercizio sulle disequazione di primo grado intere
- Esercizio 10 - Esercizio sulle disequazione di primo grado intere
- Esercizio 11 - Esercizio sulle disequazione di primo grado intere
- Esercizio 12 - Esercizio sulle disequazione di primo grado intere
- Esercizio 13 - Esercizio sulle disequazione di primo grado intere
- Esercizio 14 - Esercizio sulle disequazione di primo grado intere
- Esercizio 15 - Esercizio sulle disequazione di primo grado intere
- Esercizio 17 - Esercizio sulle disequazione di primo grado intere
- Esercizio 18 - Esercizio sulle disequazione di primo grado intere






