SISTEMI RICONDUCIBILI AL SISTEMA SIMMETRICO FONDAMENTALE
- Sistemi di equazioni di grado superiore al primo
- Sistemi simmetrici
- Sistema simmetrico fondamentale
- Sistemi riconducibili al sistema simmetrico fondamentale
- Sistemi riconducibili al sistema simmetrico fondamentale
- Discriminante di un'equazione di secondo grado
Continuiamo l'esame dei SISTEMI RICONDUCIBILI AL SISTEMA SIMMETRICO FONDAMENTALE ed esaminiamo il seguente caso:
Vediamo come è possibile ricondurre questo sistema al sistema simmetrico fondamentale.
Aggiungiamo, ad entrambi i membri della prima equazione del sistema b + c:
Ora scriviamo il sistema nel modo seguente:
Ora, se noi consideriamo (x+b) e (y+c) come due incognite quello che abbiamo scritto è il nostro sistema simmetrico fondamentale che possiamo risolvere scrivendo l'equazione risolvente.
ATTENZIONE!!! Bisogna fare attenzione nell'indicare i risultati del sistema perché, le incognite di questo sistema sono (x+b) e (y+c), mentre noi dobbiamo trovare i valori di x e y. Quindi una volta trovati (x+b) e (y+c), da questi dobbiamo risalire ai valori di x e y.
Vediamo un esempio:
Aggiungiamo, al primo e al secondo membro, della prima equazione +2 e -1, e la scriviamo nel modo seguente:
da cui otteniamo:
Ora risolviamo considerando (x+2) e (y-1), come due incognite. Avremo:
S = 2
P = 1.
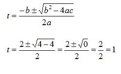
L'equazione risolvente del sistema è:
t2 - 2t + 1 = 0
quindi
Poiché il delta dell'equazione risolvente del sistema è uguale a zero, abbiamo ottenuto una sola soluzione. Ora dobbiamo trovare i valori di x e di y ponendo:
da cui






