QUADRATO DI UN TRINOMIO
- Prodotto di polinomi
- Polinomio ridotto a forma normale
- Prodotti notevoli
- I monomi
- Elevamento a potenza
Continuiamo l'esame dei prodotti notevoli parlando del QUADRATO di un TRINOMIO.
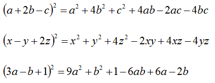
Immaginiamo di voler eseguire il seguente quadrato:
Parlando delle potenze abbiamo appreso che il QUADRATO di un numero, si ottiene MOLTIPLICANDO il numero per SE' STESSO.
Applicando la regola al nostro trinomio avremo:
Eseguiamo il prodotto ricordando che il PRODOTTO di due POLINOMI è un POLINOMIO i cui TERMINI si ottengono MOLTIPLICANDO ogni TERMINE del primo POLINOMIO per ogni termine del secondo POLINOMIO.
Quindi avremo:
Ora riduciamo i termini simili, cioè eseguiamo la somma algebrica dei termini che hanno la stessa parte letterale. Avremo:
Possiamo notare, quindi, che il QUADRATO di un TRINOMIO è uguale alla somma del QUADRATO del primo, PIU' il QUADRATO del secondo, PIU' il QUADRATO del terzo, PIU' il DOPPIO PRODOTTO di ciascun termine per ognuno di quelli che lo seguono.
Infatti:
Vediamo, insieme, qualche altro esempio:






