EQUAZIONI RAZIONALI INTERE DI SECONDO GRADO LETTERALI
- Equazioni di secondo grado ad una incognita
- Risoluzione delle equazioni di secondo grado complete
- Equazioni razionali intere di secondo grado
- Discriminante di un'equazione di secondo grado
- Equazioni spurie
- Equazione di primo grado ad una incognita
- Equazioni intere letterali
- Divisione
Come abbiamo detto nella lezione precedente un'equazione si dice RAZIONALE se NON contiene l'INCOGNITA sotto il segno di RADICE ed è INTERA se NON contiene l'INCOGNITA a DENOMINATORE della frazione.
Quindi, in questa lezione continueremo ad occuparci delle equazioni RAZIONALI INTERE.
Finora ci siamo occupati della soluzione delle EQUAZIONI NUMERICHE di SECONDO GRADO, cioè di quelle equazioni di secondo grado che, oltre alle incognite, contengono SOLAMENTE NUMERI.
Come sappiamo, però, una equazione, oltre alle incognite, può contenere delle ALTRE LETTERE: esse vengono considerate come dei NUMERI FISSI e prendono il nome di COSTATI o PARAMETRI. Queste equazioni sono dette EQUAZIONI LETTERALI o EQUAZIONI PARAMETRICHE.
Parlando delle equazioni di primo grado, ci siamo occupati della risoluzione delle equazioni intere letterali. Ora vedremo come si risolvono le equazioni intere letterali di secondo grado.
- Primo caso: la COSTANTE
è il PRIMO COEFFICIENTE.
Esempio:
ax2 + 2x + 5 = 0.
Per prima cosa vediamo cosa accade se
a = 0.
In questa ipotesi si avrà:
0x2 + 2x + 5 = 0
2x + 5 = 0.
L'equazione si trasforma in una di primo grado e la soluzione sarà:
2x = - 5
x = -5/2.
Quindi vediamo cosa accade se
a ≠ 0.
In questo caso occorre impostare la formula risolutiva e studiare i VALORI CHE ASSUME IL DISCRIMINANTE. In particolare vedere quando:
- il Δ = 0 e l'equazione ammette UNA SOLA SOLUZIONE;
- il Δ < 0 e l'equazione NON AMMETTE SOLUZIONI;
- il Δ > 0 e l'equazione ammette DUE SOLUZIONI DISTINTE.
Ricordiamo che
Δ = b2 -4ac.
Torniamo al nostro esempio:
ax2 + 2x + 5 = 0.
se
a ≠ 0
Δ = 4 -20a
- Δ = 0 quando
4 -20a = 0
ovvero quando
-20a = -4
20a = 4
a = 4/20
a = 1/5.
In questo caso la soluzione dell'equazione è una sola ed esattamente:
x = -2/2a = -1/a.
Ricordiamo che la formula risolutiva è:
e che se il delta è uguale a zero essa diventa
-
Δ < 0 quando 4 -20a < 0
ovvero quando
-20a < -4
20a > 4
a > 4/20
a > 1/5.
In questo caso l'equazione non ammette soluzioni.
- Δ > 0
quando 4
-20a > 0
ovvero quando
-20a > -4
20a < 4
a < 4/20
a < 1/5.
In questo caso l'equazione ammette due soluzioni, ed esattamente:
- Secondo caso: la COSTANTE
è il SECONDO COEFFICIENTE o
il TERMINE NOTO o
ENTRAMBI.
Esempio:
+x2 + 2x + k = 0.
In questo caso passiamo subito a studiare i VALORI CHE ASSUME IL DISCRIMINANTE. In particolare andiamo a vedere quando:
- il Δ = 0 e l'equazione ammette UNA SOLA SOLUZIONE;
- il Δ < 0 e l'equazione NON AMMETTE SOLUZIONI;
- il Δ > 0 e l'equazione ammette DUE SOLUZIONI DISTINTE.
Tornando al nostro esempio avremo:
- Δ
= 0 quando 22-
4k = 0
ovvero quando
4 - 4k = 0
-4k = -4
4k = 4
k = 4/4
k = 1.
In questo caso la soluzione dell'equazione è una sola ed esattamente:
x = -2/2 = -1.
- Δ < 0
quando 22-
4k < 0
ovvero quando
4 - 4k < 0
-4k < -4
4k > 4
k > 4/4
k > 1.
In questo caso l'equazione non ammette soluzioni.
- Δ > 0
quando 22
- 4k > 0
ovvero quando
4 - 4k > 0
-4k > -4
4k < 4
k < 4/4
k < 1.
In questo caso l'equazione ammette due soluzioni, ed esattamente:
Inoltre, se i PARAMETRI sono nei DENOMINATORI occorre IMPORRE che essi siano DIVERSI DA ZERO.
Infatti sappiamo che dividere un numero n per zero significa cercare quel numero che moltiplicato per zero da n: ma ciò è impossibile perché ogni numero moltiplicato per zero da zero.
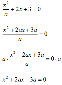
Esempio:
Per prima cosa poniamo come condizione che
a ≠ 0.
Poi risolviamo come nei casi precedenti:
In questo caso la nostra equazione rientra nel caso 2. Quindi si procede ad esaminare il discriminante.
- Δ = 0 quando 4a2 - 12a =
0o
4a (a - 3) = 0
ovvero quando a = 0 e quando a - 3 = 0, cioè a = 3.
In questo caso la soluzione dell'equazione è x = -2a/2 = -a.
- Δ < 0 quando
4a2 - 12a
< 0
cioè quando
4a (a - 3) < 0.
Andiamo a studiare il segno del prodotto.

La nostra equazione è negativa quando
0 < a < 3.
In questo caso l'equazione non ammette soluzioni.
- Δ < 0 quando
4a2 - 12a
> 0
cioè, esaminando il grafico precedente, quando
a < 0 e quando a > 3.
In questo caso l'equazione ammette due soluzioni. Esse sono:






