FORMULA RISOLUTIVA RIDOTTA
- Equazioni di secondo grado ad una incognita
- Equazioni di secondo grado complete
- Risoluzione delle equazioni di secondo grado complete
- Discriminante di un'equazione di secondo grado
- Semplificazione di una frazione
- Addizione di frazioni
In una precedente lezione abbiamo visto che la FORMULA RISOLUTIVA dell'equazione di secondo grado in una incognita è la seguente:
Ora immaginiamo che nell'equazione completa di secondo grado
ax2 + bx + c = 0
b sia un NUMERO INTERO PARI.
Quindi scriviamo b come 2k, ovvero:
b = 2k.
Sostituiamo nell'equazione precedente e abbiamo:
ax2 + 2kx + c = 0.
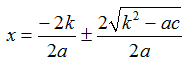
Di conseguenza la FORMULA RISOLUTIVA diventa:
Eseguiamo il quadrato indicato sotto radice e abbiamo:
Sotto radice, mettiamo in evidenza il 4, e abbiamo:
Portiamo il 4 fuori dalla radice:
Scriviamo la nostra formula come la somma di due frazioni:
Semplifichiamo entrambe le frazioni:
Sommiamo le frazioni e otteniamo:
Questa è la FORMULA RISOLUTIVA RIDOTTA.
Essendo
b = 2k
possiamo anche scrivere che
k = b/2.
Quindi la FORMULA RISOLUTIVA RIDOTTA può essere scritta anche nel modo seguente:
Ricordiamo che l'uso della formula ridotta è ammissibile solamente se b è un NUMERO INTERO POSITIVO.
Perché usare la formula ridotta, in questi casi, anziché quella già illustrata nelle precedenti lezioni? Semplicemente perché essa permette di semplificare i calcoli, ma l'impiego dell'una o dell'altra formula è indifferente dato che entrambe portano ai medesimi risultati.
Osserviamo la nostra formula:
k2 - ac
ovvero
(b/2)2 - ac
è detto DISCRIMINANTE RIDOTTO
e si indica anche col simbolo
Δ/4
detto DELTA QUARTI.
Infatti, il DELTA della FORMULA RISOLUTIVA NORMALE è
b2 - 4ac.
Mentre, il DELTA della FORMULA RISOLUTIVA RIDOTTA è
(b/2)2 - ac.
Prendiamo il delta
Dividiamo entrambi i membri per 4:
che può essere scritta anche come:
Come si può notare, dunque, il delta della formula ridotta è la quarta parte del delta della formula normale.
Per il DELTA QUARTI valgono le stesse considerazioni che abbiamo fatto per il DELTA:
- esso può essere POSITIVO
e allora l'equazione ammette DUE SOLUZIONI,
ovvero:
- esso può essere UGUALE
A ZERO e allora l'equazione ammette UNA
SOLA SOLUZIONE:
- esso può essere NEGATIVO e allora l'equazione NON AMMETTE SOLUZIONI.
Vediamo, con un esempio, come applicare la FORMULA RIDOTTA.
x2 - 6x - 7 = 0.
Nel nostro esempio
b = -6.
Essendo esso un NUMERO INTERO PARI possiamo applicare la formula ridotta. Avremo:






