PROBLEMI DEL TRE COMPOSTO: COME SI RISOLVONO
- Costanti e variabili
- Problemi del tre semplice
- Problemi del tre semplice diretto - metodo delle proporzioni
- Problemi del tre semplice inverso - metodo delle proporzioni
- Problemi del tre composto
- Problemi del tre composto: esempi
- Problemi del tre composto
Dopo aver visto quali sono i PROBLEMI DEL TRE COMPOSTO ora cerchiamo di capire come possiamo risolverli applicando il METODO DELLE PROPORZIONI.
Per questo torniamo all'esempio visto nella lezione precedente:
Per costruire un muro lungo 80 metri, 5 operai, lavorando 8 ore al giorno, hanno impiegato 4 giorni. Quanti giorni impiegheranno 7 operai, lavorando 6 ore al giorno, per realizzare un muro di 63 metri?
Per risolvere questo tipo di problema:
- iniziamo con l'indicare con la x la grandezza cercata, ovvero i giorni di lavoro impiegati da 7 operai che lavorano 6 ore al giorno per completare un muro di 63 metri;
- quindi
          costruiamo una tabella nella quale riportiamo le nostre quatto
          variabili: lunghezza del muro, numero degli operai, ore di lavoro,
          giorni di lavoro. Il prospetto sarà il seguente:
   
- ora dobbiamo
          stabilire se, ciascuna delle grandezze trovate è direttamente
          o inversamente proporzionale
          alla nostra incognita, lasciando invariati gli altri valori.
        Partiamo dalla lunghezza del muro. A parità di numero di operai impiegati e di ore di lavoro, i giorni di lavoro impiegati sono direttamente proporzionali alla lunghezza del muro, infatti se la lunghezza del muro raddoppia raddoppia anche il tempo impiegato per la sua costruzione. Per ricordarcelo indichiamo una D, che sta ad indicare DIRETTAMENTE PROPORZIONALE, sulla prima colonna:  
 Passiamo alla seconda colonna: il numero degli operai. Fermo restando la lunghezza del muro e il numero delle ore della giornata lavorativa, i giorni di lavoro sono inversamente proporzionali al numero degli operai. Se abbiamo un numero doppio di operai le giornate di lavoro si dimezzano. Per ricordarcelo indichiamo una I, che sta ad indicare INVERSAMENTE PROPORZIONALE, sulla seconda colonna:  
 Vediamo infine la terza colonna: le ore di lavoro. Fermo restando la lunghezza del muro e il numero degli operai, i giorni di lavoro sono inversamente proporzionali alle ore di lavoro. Se gli operai lavorano il doppio delle ore, le giornate di lavoro si dimezzano. Per ricordarcelo indichiamo una I, che sta ad indicare INVERSAMENTE PROPORZIONALE, sulla terza colonna:  
- 
        ora risolviamo il problema come se si trattasse di TANTI problemi del tre semplice. Consideriamo solamente le variabili lunghezza del muro e giorni di lavoro, in altre parole la prima e l'ultima colonna della nostra tabella:  
 La nostra tabella diventa:  
 Iniziamo col dire che per costruire un muro lungo 80 metri occorrono 4 giorni di lavoro. Quanti giorni di lavoro occorrono per costruire un muro di 63 metri (considerando sempre 5 operai e 8 ore di lavoro giornalieri)? Le due grandezze sono DIRETTAMENTE PROPORZIONALI quindi la proporzione da impostare è la seguente: 80 : 63 = 4 : x  Questi sono i giorni di lavoro che occorrono a 5 operai che lavorano 8 ore al giorno per completare un muro di 63 m. 
 Ora consideriamo solamente le variabili numero di operai e giorni di lavoro, quindi la seconda e l'ultima colonna della nostra tabella.  
 Tenendo conto del valore appena trovato, la nostra tabella diventa:  
 I giorni di lavoro sono (4x63)/80 perché questo è il tempo che impiegano 5 operai che lavorano 8 ore al giorno per realizzare un muro di 63 metri. Consideriamo che 5 operai, per costruire un muro di 63 metri lavorando 8 ore al giorno, impiegano (4x63)80 giorni. Quanti giorni di lavoro impiegano 7 operai per costruire il muro (considerando sempre 63 metri e 8 ore di lavoro giornalieri)? Le due grandezze sono INVERSAMENTE PROPORZIONALI quindi la proporzione da impostare è la seguente:  Questi sono i giorni che impiegano 7 operai per realizzare un muro di 63 metri lavorando 8 ore al giorno. 
 Ora consideriamo solamente le variabili ore di lavoro e giorni di lavoro, quindi la terza e l'ultima colonna della nostra tabella.  Tenendo conto del valore appena trovato, la nostra tabella diventa:  
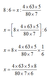
 Consideriamo che lavorando 8 ore al giorno, 7 operai impiegano (4x63x5)/(80x7) giorni per costruire un muro di 63 metri. Quanti giorni impiegano gli stessi operai se le ore di lavoro giornaliere sono 6 per costruire lo stesso muro? Le due grandezze sono INVERSAMENTE PROPORZIONALI quindi la proporzione da impostare è la seguente:   
 Quindi il numero dei giorni da noi cercato sarà:  Questo significa che 7 operai che lavorano 6 ore al giorno impiegano 3 giorni per costruire un muro di 63 metri. 
Ora osserviamo che il valore da noi cercato

è uguale al PRODOTTO del VALORE NOTO di tale grandezza, moltiplicato per i RAPPORTI DIRETTI dei valori delle GRANDEZZE INVERSAMENTE PROPORZIONALI e per i RAPPORTI INVERSI dei valori DIRETTAMENTE PROPORZIONALI alla grandezza di cui un valore è incognito.
Ovvero:

Cioè:

Questa, dunque, è la regola che applicheremo in pratica quando dobbiamo risolvere un problema del tre composto e lo vogliamo fare con il metodo delle proporzioni.
Nella lezione successiva vedremo alcuni esempi pratici per rendere più chiara l'applicazione della regola appena esposta.







